院校库
专业库
研招信息
课程分类
定向专业课
考研工具
热门频道
400-108-7500
2023-01-11 16:45:02
677
考研择校 25考研报考指南
全科400+冲刺备考指导 大咖领学>>
【26考研辅导课程推荐】:26考研集训课程,VIP领学计划,26考研VIP全科定制套餐(公共课VIP+专业课1对1) , 这些课程中都会配有内部讲义以及辅导书和资料,同时会有教研教辅双师模式对大家进行教学以及督学,并配有24小时答疑和模拟测试等,可直接咨询在线客服老师领取大额优惠券。
热门下载
资料下载
院校解析
真题解析
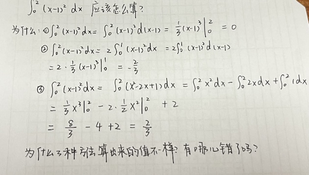
考研数学
考研英语
考研政治
考研备考
2026考研数学一专属VIP班
2026考研英语专属VIP
2026考研VIP全科定制
2026考研英语专属VIP班
2026考研VIP领学计划套餐
点击免费领取择校规划